Optimum Moisture content (OMC)
With increase in water content, initially the dry density increases, and becomes maximum.
With further increase in water content, the dry density decreases.
The water content at which dry density is maximum, is called optimum moisture content.
Maximum dry density (MDD)
The dry density corresponding to optimum moisture content is called maximum dry density.
Zero air void line or saturation line :
For a given water content, theoretical maximum density is obtained, when there are no air voids (i.e., degree of saturation is equal to 100 %).
The line showing the dry density as a function of water content for soil containing no air voids is called zero air void line or the saturation line.
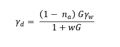
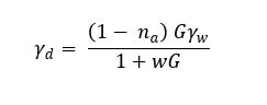
It is given by the equation,
LINE OF OPTIMUMS :
If soil is compacted at different compactive efforts, and different compaction curves are drawn, the line joining the points of maximum dry density is called line of optimums.




