VEHICULAR CHARACTERISTICS
The various vehicular characteristics affect the geometric design of highways. The standards for the dimensions and weights of vehicles should be consistent with the road facilities now available or could be made available in the near future.
Vehicular Characteristics are classified into two types :
1) Static Characteristics :
The static characteristics affecting highway design are the dimensions, weight and maximum turning angle.
i) Width of the vehicle :-
This affects the followings :
- Lane width
- Width of parking lots
- Width of shoulders
- Speed of vehicle
- Capacity of road, etc.
ii) Length of the vehicle :-
This affects the followings :
- Design of horizontal alignment of road
- Road capacity
- Parking facilities
- Overtaking Distance, etc.
iii) Height of vehicle :-
This affects the followings :
- Clearance required under structures such as under bridges, over bridge, electric service line
- Height of tunnels
- Height of driver seat affects the visibility distance
iv) Weight of vehicles :-
This affects the following elements : Structural design of pavement, its thickness
- Design of bridges
- Ruling and limiting gradients
The gross load of any vehicle or combination of vehicles should not exceed given by the following relation :
W = 1525 [L + 7.3] – 14.7 L²
when L > 2.44 m
Where,
W = gross weight of vehicle in kg.
L = distance between extreme axles in meters
When L < 2.44 m, the gross weight of vehicle should not exceed 14515 kg.
As per IRC, no axle load should exceed 10,000 kg.
The IRC has standardized the length, width and height of vehicles in India as given in Table :
Maximum Permissible Weights :
a) Single Axle Weight :
The total gross weight imposed on the highway by a single axle fitted with dual wheels shall not exceed 10.2 tonnes. In the case of axles with single wheels, the axle weight shall not exceed 6 tonnes.
b) Tandem Axle Weight :
The total gross weight imposed on the highway by two axles in tandem articulated from a common attachment to the vehicle or individually attached to the vehicles and spaced not less then 1.2 m but not more than 2.5 m apart, shall not exceed 18 tonnes.
Turning radius :
a) Low speed turns :
The minimum turning radius for low speed vehicles (speed less than 16 km/hr) depends upon the wheel base and steering angle.
The path followed and space required by a vehicle when making a sharpest possible turn is specially important in vehicle maneuvering such as parking. When vehicle turns at low speeds, the rear wheel tracks the front wheel, on a shorter radius.
The difference between radii of rear and front wheels known as “off tracking” or “mechanical widening” is dependent on the turning radius and vehicle wheel base. If inner front wheel takes a path on the inner edge of a pavement at a horizontal curve, inner rear wheel will be off the pavement on the inner shoulder.
where n = no. of lanes
l = length of wheel base (m)
R = Radius of curve (m)
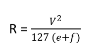
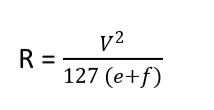
b) High Speed Turns :
At high speed turns (at 0.7 times of design speed), as on intersection curves the turning radius is controlled by amount of superelevation and by the side friction factor between the tyres and pavements, given by the following formula :
R = radius of curve in m
V = speed of vehicle in km/hr
e = rate of superelevation
f= coefficient of side friction
2) Dynamic Characteristics :
The dynamic characteristics of vehicles affecting highway design are
- Speed
- Acceleration
- Braking System
- Vehicle Body Design
The speed and acceleration depends upon the power of the engine and the resistance to be overcome and are important in all the geometric design elements.
The vehicle speed affects :
- Sight distance
- Super elevation
- Length of transition curve on horizontal curves
- Radius on horizontal curves
- Length of transition curve on vertical
- Width of pavement and shoulders
- Design gradient
- Capacity of traffic lane, etc.
The braking system of a vehicle is important from the point of view of safety. The safety of vehicle operation, stopping distance and the spacing between the two consecutive vehicles in a traffic stream are affected by the braking capacity.
Acceleration characteristics of a vehicle need to be understood when designing the intersection elements and overtaking sight distance acceleration rate is governed by the vehicle transmission system, weight and horse power. The acceleration rate also varies with speed, being high at lower speeds and low at higher speeds.
The following are the ranges in values of acceleration rates of different types of vehicles :
- Medium Passenger Cars :- 3 – 8 km/hr/sec
- Trucks and Buses :- 1 – 4 km/hr/sec



